全身性エリテマトーデス(SLE)は、多臓器に炎症を引き起こす代表的な膠原病ですが、呼吸器合併症、とくに間質性肺疾患(Interstitial Lung Disease: ILD)の存在については、他の膠原病ほど注目されていないかもしれません。
というのも、先行研究やメタ解析では、SLEにおけるILDの有病率は約6%前後とされており、これは強皮症(約47%)や関節リウマチ(約11%)よりも明らかに低頻度です。ただし、「頻度が低い=軽視してよい」わけではありません。
今回紹介する研究は、SLEにおけるILDの発症率・死亡率を大規模な住民データから明らかにし、「少ないけれど、出たらヤバい」合併症であることを数字で証明しています。
Interstitial lung disease in systemic lupus erythematosus: a 30-year population study. David M. Ng, et al. Rheumatology 2025.
This is an open access article distributed under the terms of the Creative Commons CC-BY license, which permits unrestricted use, distribution, and reproduction in any medium, provided the original work is properly cited. You are not required to obtain permission to reuse this article.
はじめに

SLE(全身性エリテマトーデス)は多臓器にわたる自己免疫疾患で、関節炎や腎炎、神経症状がよく知られていますが、肺病変の存在についてはまだ十分に理解されていない部分もありますね。
その中でも間質性肺疾患(ILD)は、SLEでは比較的まれとされながらも、発症すれば生命予後に大きな影響を与えることが示唆されてきました。

今回ご紹介する研究では、オーストラリアの住民ベースの大規模データを使って、SLEにおけるILDの発症率と死亡率を解析しています。
これまでの知見を裏付けると同時に、診療現場での注意点がより明確になった非常に有意義な報告です。
背景と目的
SLE(全身性エリテマトーデス)における間質性肺疾患(ILD)の疫学的知見は限られており、他の膠原病に比べて有病率が低いとされているが、実際の発症率や予後への影響について明確なデータは少ない。
方法
西オーストラリア州における保健データベースを用いて、1985年〜2014年にSLEと診断された患者を同定し、年齢・性別・カレンダー年でマッチさせた対照群と比較した。
アウトカムは、ILDの発症率と死亡率とした。
Cox回帰モデルを用いてハザード比を算出した。
結果
SLE患者1854人、対照群12107人が対象となった。
ILDの発症率は、SLE群で1000人年あたり3.11例、対照群で0.12例であり、調整後のハザード比は26.8(95%CI: 15.6–45.9)であった。
SLE群では、ILDの発症により死亡率が有意に増加しており、1000人年あたり52.0例であったのに対し、
ILDを伴わないSLE群では17.7例であった(HR: 3.02, 95%CI: 1.73–5.26)。
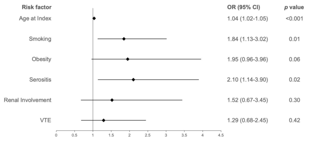
ILD発症の危険因子として、年齢、喫煙歴、漿膜炎が挙げられた。
結語
SLE患者におけるILDの発症率は対照群に比べて著しく高く、死亡率も増加していた。
SLEにおいてILDの存在は臨床的に重要な合併症であり、注意深くモニタリングすべきである。

感想です。
どんな結果だった?
この研究では、1985〜2014年に診断されたSLE患者1854人を対象に、同年齢・性別・診断時期の対照群12107人と比較しました。
主な結果は以下の通りです:
| 項目 | SLE群 | 対照群 | 差異・比 |
|---|---|---|---|
| ILD発症率(1000人年) | 3.11 | 0.12 | 約26.8倍(調整HR) |
| ILD発症までの期間(中央値) | 67か月 | 125か月 | 短縮 |
| ILD発症後の死亡率(1000人年) | 52.0 | — | 有意に高い |
| ILDなしSLE群の死亡率 | 17.7 | — | 比較対象 |
| ILDによる死亡リスク(HR) | 3.02 | — | 有意 |
また、ILDの発症に関連する因子として、以下が挙げられました:
- 高年齢(年齢ごとにOR 1.04)
- 喫煙歴(OR 1.85)
- 漿膜炎(胸膜炎・心膜炎など)(OR 2.10)
これらの因子を有するSLE患者では、ILDの早期スクリーニングを検討する必要がありそうですね。

図1. 全身性エリテマトーデス(SLE)患者および対照群における間質性肺疾患(ILD)の発症率(1000人年あたり)の経時的推移。

図2. 多変量ロジスティック回帰分析に基づく、全身性エリテマトーデス(SLE)における間質性肺疾患(ILD)発症の独立した危険因子。

図3. Kaplan-Meier生存曲線:SLEILD⁺と、ILDを有さないSLE患者(SLEILD⁻)
膠原病全体でのILD発症率との比較
この研究の位置づけを理解するには、「他の膠原病との比較」を知っておくことが大切です👇
| 疾患 | ILDの有病率(おおよそ) | 備考 |
|---|---|---|
| 全身性強皮症(SSc) | 35〜60% | 最も高い。主要死因。 |
| 皮膚筋炎/多発性筋炎(DM/PM) | 20〜50% | 抗ARS抗体陽性で高率。 |
| 混合性結合組織病(MCTD) | 30〜50% | SSc様病態を呈する。 |
| 関節リウマチ(RA) | 5〜30% | 男性・喫煙・高齢で高率。 |
| 全身性エリテマトーデス(SLE) | 約3〜10% | 膠原病の中では最も低率。 |
👉 つまり、「SLEにおけるILDは、頻度的には膠原病の中で最も低いグループ」ですが、
発症すれば死亡リスクを3倍に高めるという点で、臨床的には決して軽視できないのです。
限界点も忘れずに
- ICDコードによる定義:診断精度にバラつきがある可能性
- 画像(CT)や肺機能データが不明:病型や進行度がわからない
- 治療の詳細(免疫抑制剤の使用など)が記録されていない
それでも、30年近くの追跡で得られたデータから得られた結論としては非常に信頼性が高いといえるでしょう。
臨床現場でどう活かす?
この研究結果を現場でどう活かすかを考えると、以下のようなポイントが浮かびます。
① 高リスクSLE患者の早期スクリーニング
- 高齢・喫煙歴・漿膜炎あり → 胸部HRCT・肺機能を積極的に
② 禁煙指導の強化
- 喫煙はILDリスクを約2倍に増加させる
→ SLE患者に対して喫煙の影響を具体的に説明しやすくなりますね。
③ 呼吸器内科との早期連携
- ILDの早期発見・治療導入には専門科の協力が不可欠です。

<スマートフォンをご利用の皆さまへ>
他の記事をご覧になりたい場合は、画面下の「メニュー」「検索」「サイドバー」を使って、気になる話題を検索することもできますので、ぜひご活用ください。
<PCをご利用の皆さまへ>
他の記事をご覧になりたい場合は、画面上部のメニューバーや画面右側のサイドバーをご利用いただき、気になる話題をお探しください。
